http://www.bip.gov.pl
  Drukuj strone
Gmina Miejska Górka
Urząd Miejski
Organy władzy publicznej
Raport o stanie Gminy
Jednostki organizacyjne samorządu terytorialnego
Zamówienia Publiczne
Przetargi
Petycje
Wybory
Procedury Obsługi Interesanta
Praca
Deklaracja dostępności
Koordynator do spraw dostępności
Oświadczenia majątkowe
RODO
Konsultacje społeczne
Informacje
Redakcja Biuletynu
Statystyki
Rejestr zmian
Instrukcja obsługi BIP
Wyszukiwarka


 
Rejestr zmian 
Informacje
 
Treść archiwalna z dnia: 2021-09-03 14:08:49
Strona / Praca
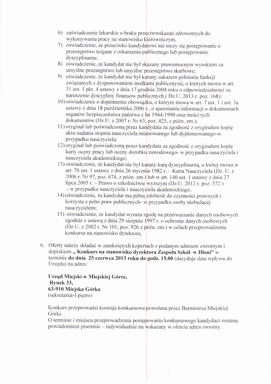
Ogłoszenie konkursu na stanowisko dyrektora Zespołu Szkół w Dłoni

.


««« powrót
 
 


Interaktywna Polska